Faiza Malik

Logo

Data Analyst



LinkedIn profile

View My GitHub Profile

A/B Hypothesis Test Analysis

Summmary

This report aims to describe in detail the findings of A/B hypothesis test which was designed to compare the two versions of webpage. The new version of webpage has been created to increase awareness about newly introduced food and drink offerings. The objective of this action is to increase revenue. The test involves addition of banner of products in food and drink category at the top of website. The way control and treatment group will see the webpage is shown below: Users will be randomly assigned to both groups.

Data

To extract GloBox data, we made an SQL query and subsequently conducted analysis using Google Sheets and Tableau. The query and associated tasks in Google Sheets can be found appended to the conclusion of this document. We examined the following variables:

Test parameters

To assess the potential impact of the new webpage design, I’ll examine the following variables:

The above figure has shown that there is difference in conversion rate between both groups. The difference in bar lengths can be seen. Our analysis aims to determine whether this difference signifies a significant relationship between the new webpage design and Group B.

Hypothesis Test

Null hypothesis states that there is no difference in conversion rate between both groups. And alternative is that there is difference in conversion rate between both groups. The difference in conversion rate among control and treatment group is not zero.

H0: p2-p1=p0 or p1= p2

H1 : p2-p1<>p0

Where:

p1 = conversion rate for control group A

p2 = conversion rate for treatment group B

Test details

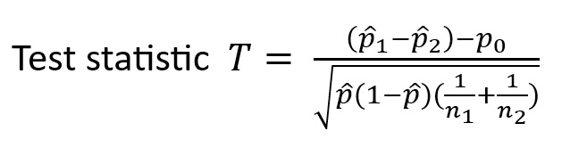
Two sample z test with pooled proportion (Two tail test)

Two sample z-test with pooled proportion is used because in Null hypothesis we consider difference in conversion rate to be zero. Hence, we have assumed that variance of two populations is same. The pooling is related to the estimation of standard error. In this pooling version of z-test both proportions are averaged and only one is used for calculation of standard error.

Result

The p value 0.0001 is less than 0.05, so if really no difference exits in conversion rate between two groups, we would see such an extreme result only less than 1% of the time. In other words, probability that we got this result by chance is less than 1 %.

P- value describes a probability not, a certainty. We are confident that conversion rate for new web design is greater in treatment group. Therefore, we conclude that there is statistically significant difference between conversion rate for two groups. We reject the null hypothesis of no difference in conversion rate between two groups.

95% Confidence Interval for difference in conversion rate between control and treatment groups

Two sample z-interval with unpooled proportions

Confidence interval is used to create a best range in which we are pretty sure that the actual value lies in. It is the range of possible values of parameter (point estimate ± margin of error) with certain amount of confidence. Margin of error considers the uncertainty in estimation because of using a sample to make inference about entire population. 95% confidence interval entails that if we take 100 different samples and calculate confidence interval each time than 95 out of 100 confidence intervals will contain the true value of the parameter.

Result

95% confidence internal of difference in conversion rate between treatment and control group is (0.003486, 0.010654). The point estimate for difference in conversion rate between two groups is 0.0070698, and we are 95% confident that true value of difference is between 0.003486 and 0.010654. The null value for the difference in conversion rate is zero. Because the 95% confidence level doesn’t include zero, we conclude that difference in conversion rate between control and treatment group is significant.

The depicted figure indicates a minimal variance in the average amount spent by both groups. We need to check if this difference is statistically significant.

Two sample t-test with unpooled variance

When it is not possible to make assumption of equal variances, we consider separate or unpooled variances. We still have following assumptions.

The null hypothesis is that there is no difference in the average amount spent per user between two groups. While the alternate hypothesis is that there is a difference in average amount spent per user between control and treatment groups.

Result The considered level of significance is 5%. Which means that there is 95% probability that results found in this experiment are the result of true difference between control and treatment groups. The p-value we got is 0.9438560437. The p-value is not less than 0.05. Hence, we conclude that the difference in average amount spent between two group wasn’t significantly different. We cannot reject null hypothesis.

95% Confidence Interval for difference in the average amount spent per users between treatment and Control.

Result

95% confidence interval for difference in average amount spent per user in our data turned out to be (-0.4386612802, 0.4713582361). The null value for the difference in means is zero. Our confidence interval range include zero that’s we conclude that the difference in average amount per user is not significant.

Novelty effect

It is the common issue when dealing with A/B hypothesis testing. Even if the feature isn’t objectively superior, users might engage out of curiosity. Consequently, during the initial launch period, user response could be elevated simply due to novelty. This phenomenon is termed the “Novelty Effect.” To investigate whether the change in conversion rate and average amount spent between treatment and control also face this issue, we have made another query to extract data with dates included in it. The following graphical illustration will elaborate that the difference in conversion rate is still persistent till the end. The graphs have shown that the differences in conversion rate and average amount spent are not different in the timeline of 14 days. So, there are minimal or no novelty effects.

Power Analysis

Power analysis helps determine the sample size needed for accurate results. When we rely on just one measure—like differences in conversion rate or average user spending—the chances of our estimate being way off are quite high, making it statistically insignificant. However, using multiple observations to estimate the parameter reduces the impact of extreme measures, bringing us closer to the true parameter. This increases our chances of correctly rejecting the null hypothesis. Larger sample sizes enhance test power. These principles, based on the Central Limit Theorem, are applicable across distributions.

  1. Conversion Rate Let’s assume we want commonly used power value of 0.8. That means we want to have 80% probability that we will correctly reject the null hypothesis. Threshold for significance will be α = 0.05. We want to have 10 percent of difference in conversion rate between treatment and control group. With these parameters the total sample size should be 77K with 38.5k users in each group.
  2. Amount Spent Suppose we aim for a 10% difference in the mean of both groups. With a pooled standard deviation of 25.94, the study would need a sample size of 93,008 for each group. In simpler terms, by randomly selecting 93,008 users for each group and observing a 0.337 (10%) difference in mean between the two, there’s an 80% chance of confirming that the means of the two groups are different.

Recommendations

Recommendation: Launch the new webpage design Justification: Statistical Significance: The A/B test has demonstrated a noteworthy and statistically significant increase in the conversion rate and increase in the average amount spent. Positive Impact: The observed enhancements in these key performance metrics strongly indicate that launching the new homepage will yield higher revenue and foster an improved user experience. Low Implementation Cost: The incorporation of the banner feature is expected to be cost-effective, rendering it a practical choice. Balanced Improvement: The new homepage simultaneously enhances the conversion rate and the average amount spent, ensuring a well-rounded approach that benefits both user engagement and revenue generation. By moving forward with the experiment, GloBox can anticipate favourable outcomes in terms of revenue and user engagement, affirming its value as a prudent decision.

if (isAwesome){
  return true
}

2. Assess assumptions on which statistical inference will be based

if (isAwesome){
  return true
}

3. Support the selection of appropriate statistical tools and techniques

4. Provide a basis for further data collection through surveys or experiments

Sed ut perspiciatis unde omnis iste natus error sit voluptatem accusantium doloremque laudantium, totam rem aperiam, eaque ipsa quae ab illo inventore veritatis et quasi architecto beatae vitae dicta sunt explicabo.

For more details see GitHub Flavored Markdown.